清華大學電機係教授董新洲:故障行波理論及其應用
2009/4/21 16:52:05 新聞來源:188BETApp

摘要:介紹了故障行波概念,分析了暫態故障行波的產生機理和傳播過程,指出了暫態故障行波在分析和應用中的困難以及解決辦法;敘述了故障行波在線路故障測距、配電線路單相接地選線和超高壓/特高壓線路保護中的研究和應用狀況。明確指出:基於暫態故障行波的故障檢測技術是未來電力係統不可或缺的技術手段和重要發展方向。
關鍵詞:故障行波,輸配電線路,故障測距,單相接地選線,行波保護
0 引言
迄今為止,國內外以繼電保護為代表的電力係統故障檢測技術主要基於故障後的工頻故障信息構成。隨著電力係統的發展,隨著對電力係統運行安全性、可靠性要求的提高,傳統故障檢測技術日漸暴露出自身的缺點與不足,比如在超/特高壓、長距離輸電線路情況下保護靈敏度不足、不能有效保護帶有FACTs元件的電力係統、故障測距不準確、不能有效解決配網單相接地選線難題。這種情況影響並在一定程度上製約了電力係統的發展,給電力係統帶來安全隱患。針對這個問題,一個解決方案是繼續挖掘和改進基於傳統工頻故障信息的故障檢測技術,但是受工頻故障信息自身的局限性,很難取得質的突破;另一個解決方案是挖掘和利用新的故障信息,構造新的故障檢測技術,提高故障檢測和處理能力,增強電力係統安全性和穩定性。
輸配電線路發生故障後,故障點會出現突變的電壓,在這個突變電壓的作用下,線路上會出現運動的電壓和電流行波,這些行波是由故障引起的,包含著豐富的故障信息,可以作為故障檢測的依據。和工頻故障信息不同,行波故障信息具有暫態特性和不可重複性,它在故障初瞬起作用,主要反映故障點的性質。不論故障性質如何,不論故障嚴重程度如何,不論係統接線方式如何,故障行波都會出現。此外,行波還具有不受CT飽和影響、不反映係統振蕩、與過渡電阻無關、不受線路分布電容影響等優良性質。正是由於這些性質,行波才能在複雜的、使用傳統方法難以檢測的故障情況下判斷故障發生、給出故障性質和位置。因此,研究並正確利用故障行波對於提高故障檢測技術的水平,保障電力係統安全具有重要意義。
在電力係統,最早利用行波的故障檢測技術追溯到1948年。受二戰後雷達發明的啟發,美國人seidu提出了利用故障後所產生的行波測量輸電線路故障距離的思想[1],基於該想法,上個世紀50年代末期先後出現了3種原理的行波測距技術。借鑒行波測距思想,從上世紀60年代許多學者和廠商試圖把行波原理應用於構造具有超高速動作性能的繼電保護,1976年ASEA公司率先研製出RALDA型極性比較式輸電線路行波保護裝置並投入電力係統運行[2]。遺憾的是,由於原理缺陷,由於技術條件限製,由於對故障行波現象認識不夠深入,早期的行波測距和行波保護技術基本上已失敗告終,並導致大家對行波以及它的應用產生疑慮。
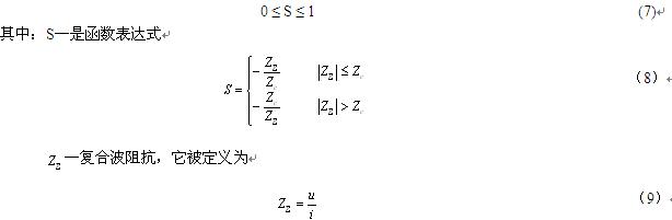
隨著計算機技術、微電子技術、通信技術、GPS時間同步技術和小波變換的出現,上世紀90年代再次掀起了行波研究和應用的高潮。上世紀90年代中期,國內外學者先後開展了利用暫態電流行波的輸電線路故障測距技術研究,並成功應用於電力係統,實現了以行波測距為標誌的行波故障檢測技術的突破。
近年來,對於行波研究更加廣泛和深入,基於單端量的輸配電線路故障測距技術、中性點非有效接地係統配電線路單相接地選線技術、交直流輸電線路行波保護新原理和技術陸續問世,掀起了行波研究和應用的新高潮,基於暫態行波的故障檢測技術正以前所未有的速度深入電力係統故障檢測的各個方麵,並逐步發展成為一個相對獨立的繼電保護、故障檢測理論與技術體係,已經或者必將在未來的電力係統發揮更大的作用。
1 故障行波的產生與性質
眾所周知,輸配電線路具有分布參數特征,使用集中參數等效電路來代替分布參數電路,本身就是一種近似,而這種近似在線路電壓等級不高、距離不長的情況下是接近準確的,它大大簡化了對於輸電線路的分析和計算,迄今為止,電力係統故障分析、繼電保護與故障檢測技術都以該等值電路為基礎。但是近似電路本身並不等同於原型電路,表述輸配電線路的準確模型是分布參數電路,而故障行波正是在在分布參數電路上形成並傳播的。
1.1故障行波源[3]
根據疊加原理,故障後的電力係統可以等效為正常運行網絡和故障附加網絡的疊加。在故障附加網絡中,附加電源是一個電壓源,數值等於故障點故障前電壓。正是在這個附加電壓源的作用下,故障行波才得以形成。圖1示出了單相故障網絡等效為正常運行網絡和故障附加網絡之間的等效關係,圖1(a)是發生了故障的電力係統,圖1(b)是圖1(a)的等效電路,而圖1(b)可以表示為正常運行網絡圖1(c)和故障附加網絡圖1(d)的疊加。圖中-e(t)是故障附加網絡中的附加電壓源。
圖1疊加原理

Figure 1 superposition principle
a)線路MN在F點發生了故障的電力係統;b)等效電路;c)正常運行網絡;d)故障附加網絡
a) faulted power system in point F;b)Equivalent circuit for a);c)Normal net work; d)fault additional network
1.2 故障行波的傳播[3]
故障發生時,在故障點附加電壓源的作用下,附加電源要將自己的電壓傳遞給其它非故障節點,但是由於分布參數電路中存在電感電容等儲能元件,而電感電流和電容電壓是不能突變的,它們需要一個充電過程,這個過程就是故障行波形成和傳播的過程。顯然它和和雷電波的傳播過程類似,參照圖2。

圖2 單相導線的分布參數等值電路和故障行波的傳播
Figure 2 Distributed parameter equivalent circuit and propagation for a single line
行波電壓和電流與導線參數的關係可以表達為波動方程:


其中, 是波阻抗; 是波速度; 被稱為前行波或者正向行波,它的物理意義是隨著時間增大,前行波沿正方向遠離故障點; 被稱為反行波或者反向行波。
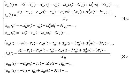
結合具體故障形式,可以寫出波動方程的特解。針對圖1,當線路MN的F點發生金屬性故障時故M、N兩端的電壓行波、電流行波、方向行波可用解析式寫成[4]:

式(4)(5)中,下標m、n分別代表線路的M端和N端,m ,n為行波在M、N端的反射係數(一般情況為負實數),m ,n為行波從故障點運動到M、N母線的時間,ZC為線路波阻抗,+為正向行波,-為反向行波;而-e(t)為故障分量網絡中的附加電壓源。
對於三相電路,沿導線傳播的故障行波都是時間和位置的函數,由於耦合電感、電容的存在,它們不獨立。在此情況下,可以采用相模變換技術,在各個模量下,行波是獨立的,可以按照上述方法分析計算各個模量的行波傳播關係,不再贅述。
1.3 故障行波的故障特征和性質[4]
根據前述介紹,可以發現故障行波具有如下故障特征:
1)隨著各種行波陸續到達母線,行波出現“突變”,分別標誌著故障發生、行波從故障點到檢測母線往返一次的時間等;
2)突變的幅值取決於故障發生時刻故障點初始電壓的大小(-e(t))、波阻抗間斷點(像母線、故障點等)的折、反射係數和行波的衰減特性[2];
3)突變的極性取決於故障發生時故障點初始電壓的極性和波阻抗的間斷性質。一般說來,行波極性具有下述特點:
a)來自於故障點的反射電壓、電流行波和初始行波同極性;
b)線路兩端的初始電壓或者電流行波同極性;
c)對應於來自母線方向的正向方向行波和來自故障線路方向的反向方向行波,它們的初始行波和反射行波具有相同的極性。
上述故障特征構成基於暫態故障行波的故障檢測技術的基礎。
故障行波具有如下性質:
1) 故障行波隻在故障發生時出現,能準確反映故障發生;
2) 故障行波中包含著故障發生時刻、故障位置、故障相、故障線等有用的故障信息;
3) 故障行波具有高頻、暫態突變的性質,難以分析;
4) 故障行波不可重複,具有易逝性,造成捕捉困難;
5) 行波同時是時間和位置的函數,因此傳統的時間分析方法和頻率分析方法不能有效刻劃暫態行波的故障特征。
正是由於行波的上述特點,導致行波的分析、采集、記錄和應用困難;同時由於行波的高頻暫態性質導致它靈敏、也容易受其它噪聲信號的幹擾。所幸的是,近些年計算機技術、高速數據采集技術的發展克服了行波記錄和處理問題;而小波變換的出現和成功應用為行波分析提供了強有力的工具,特別地利用小波變換的消噪技術可以有效剔除噪聲幹擾,保證行波故障檢測技術的可靠性。正因為如此,故障才獲得廣泛深入的研究和應用。
2 利用暫態電流行波和小波變換的的輸電線路故障測距原理與技術
2.1 利用GPS技術的輸配電線路兩端電氣量故障測距原理與技術[5][6][7]
由故障激發的初始電流行波將向線路兩端變電站母線運動,到達兩側變電站檢測點的時間Ts、TR可測量故障距離,設線路全長為L,則

該測距技術需要使用GPS同步時鍾(全球導航衛星定時與測距係統,可以提供誤差不超過1微秒的時間同步精度),而時間記錄和兩端時間同步的精度直接決定了測距的精度。
該技術需要在被測線路兩端裝設測距裝置,用於記錄故障後的初始電流行波波頭。
該技術的核心是高速數據采集電路和單片機,完成行波檢測、記錄等功能。
小波變換用於構成行波檢測算法。
不需要電壓信號,僅僅使用普通的普通電流互感器構成、簡單、方便。
該技術已經由清華大學、西安交通大學、山東理工大學等單位聯合研製、由山東科彙電氣公司生產,並成功應用於電力係統,2007年獲得國家發明獎。國內電科院、華中科大等單位也研製出類似裝置。
2.2 基於組合故障測距算法的輸電線路單端電氣量故障測距原理與技術
單端測距不需要在線路兩端安裝測距裝置,也不需要時間同步。但是目前的單端行波法和單端組抗法都存在缺陷,不能滿足故障測距實用化要求。因為行波測距原理由行波到達時間來確定,精度僅取決於行波記錄時間,精度能夠夠保證。但是單端行波法由於虛假故障反射波的存在,會出現誤報、誤測距。而單端電氣量阻抗故障測距算法受過渡電阻、CT飽和等因素的影響,測距精度很差。
一種結合行波法和組抗法的故障測距算法組合較好地解決了精度和可靠性的矛盾,這個方法被稱為單端電氣量組合故障測距算法,已經獲得國家發明專利授權[8][9][10]。基於該算法,清華大學研製出一種高精度故障錄波與測距裝置並成功應用於實際電力係統。
組合故障測距算法的基本原理是:
由具有魯棒性的阻抗測距算法給出故障發生的範圍,誤差不超過線路全長的10%,然後由行波測距法進行精確故障定位,誤差小於1公裏。圖3示出了組合故障測距算法說明圖。


(a) 行波信號的二進小波變化結果
The result of dyadic wavelet transform for a travelling waves
(b) 測量阻抗法確定的故障區間
(c) Fault zone decided by impedance algorithm for fault location
圖3組合故障測距算法基本原理
Figure 3 Assembled fault location algorithm
由圖可見,利用具有魯棒性的阻抗法確定故障範圍後,唯一的故障點反射行波波頭⑤被識別(而其它的虛假波頭②、③、④則不會被選中),故障距離也就被準確地測量出來了。
3.利用暫態電流行波和小波變換的中性點非有效接地係統單相接地選線原理與技術
3.1 單相係統接地選線判據[11],[12]
對如圖4所示的母線上有N回出線的配電網絡,假定線路為單線線路。當在第N回出線發生接地時,在故障附加電源作用下產生暫態行波,行波由接地點開始向線路兩側傳播。其中到達母線的行波,在母線處發生折反射,接地線路的反射波和入射波在本線路上疊加,形成接地線路的初始行波;來自於接地點的初始行波經折射進入非接地線路,形成非接地線路的初始行波。行波在網絡中傳播過程可以由圖5簡單示意。

圖4初始行波在母線處的折反射
Fig.4 the reflection and refraction of initial traveling wave at busbar
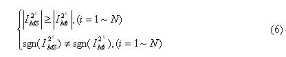
根據上述,基於電流行波進行接地選線的思想是:利用初始行波在各回進出線上所呈現的幅值和極性差異來確定接地線路,如果某條線路的初始電流行波的幅值大於其它線路的初始電流行波的幅值,而且極性和其它線路相反,則該線路為接地線路。
由於行波是一個暫態瞬時信號,提取和計算行波可以采用小波變換的模極大值,數學上已經證明小波變換模極大值包含了原始行波信號中所有信息。因此,可以采用小波變換構成接地選線判據:
單相係統接地選線判據如下:

3.2 三相係統中的接地選線判據
考慮到構造算法的需要,可以借助小波變換提取接地線路和非接地線路的初始電流行波特征,根據初始電流行波的小波變換模極大值的極性和幅值確認接地線路和非接地線路:電力係統是三相係統,各相行波在係統中是相互耦合且不獨立的,因此上述基於單線線路的選線方法不能直接適用。但是經過相模變換後,各模量如零模分量就相互獨立了。可以使用線模分量、零模分量甚至甚至單相行波分別構造出基於三相行波、兩相行波、零模行波和單相行波的單相接地原理和技術。
4 利用電壓和電流行波的方向比較式輸電線路線路縱聯保護原理與技術
4.1 波阻抗方向繼電器原理
線路故障時將產生向變電站檢測母線運動的電壓和電流行波,檢測檢測初始電壓行波和電流行波,計算初始電壓和電流行波的比值(小波變換模極大值),可以快速、準確、可靠地判斷出故障方向。波阻抗方向繼電器正向動作判據可以寫成[13]:
4.2 基於波阻抗方向繼電器的方向比較式輸電線路線路縱聯保護原理與技術
波阻抗繼電器具有動作迅速、方向明確的優點。因此,在被保護線路兩端安裝波阻抗繼電器並利用通信通道交換兩端波阻抗繼電器動作信息,可以構成具有超高速動作性能的行波方向保護。
基於行波原理的波阻抗繼電器不具有重複動作性能,不能保護複故障、轉換性故障等電力係統複雜故障形式。特別地,它僅僅是一個方向元件,因此,波阻抗繼電器不能單獨使用。當把該方向繼電器應用於輸電線路繼電保護時,必須配合反映工頻電氣量的方向元件組成完整的方向比較式縱聯保護並配合必要的後備保護。這樣做的優點是:既利用了行波保護的超高速動作性能—保證絕大多數故障在開始發生的瞬時得到快速切除,又提高了整套保護的可靠性和正確動作率[8]。
當采用上述方案構成保護時,前述的數字式波阻抗繼電器仍然是基礎,隻要在裝置中增加一塊工頻方向繼電器插件就可以了。圖5示出了利用波阻抗繼電器構成行波方向保護的邏輯框圖。兩個收發訊機是必須的。
通訊信道可以采用載波通道、也可以采用微波通道,保護原理按照允許信號構成,這樣保護具有更高的動作速度。
為了快速切除近距離故障,保護中也配置方向速斷:當確認正向故障而且電流速端動作時,無選擇發出跳閘令。

圖5方向比較式行波保護係統構成框圖
Figure 5 Draft of directional comparison protection based on surge impedance relay
基於波阻抗方向繼電器原理的線路縱聯方向比較式行波保護裝置已經研製出來,正在進行實驗室試驗,有望在明年投入實際運行。
5 結論
綜上所述,可以得出以下結論:
1) 暫態故障行波是有用的故障信息,可以用於高靈敏度、高準確性、高可靠性故障檢測;
2) 利用電流行波的輸配電線路兩端量故障測距技術是迄今為止最成功的故障測距技術;
3) 基於行波法和組抗法相結合的輸電線路單端電氣量故障測距技術是故障測距技術的最新發展;
4) 利用暫態電流行波和小波變換的中性點非有效接地係統單相接地選線技術可以從根本上解決單相接地選線難題;
5) 行波保護將應用於超高壓/特高壓交直流輸電線路。
參考文獻
[1] R.F.Stevens and T.W.Stringfield: A transmission line fault locator using fault-generated surges,AIEE Trans., Part II, Vol.67, 1948, pp.1168-1179
[2] M.Chamia S.Libberman:Ultra High Speed Relay for EHV/UHV Transmission Lines —Development,Design and Application,IEEE PAS Vol.97,No.6,Nov/Dec.1978,pp.2104-2116
[3] 葛耀中,新型繼電保護與故障測距的原理與技術,第二版,2007年7月,西安交通大學出版社
[4] 董新洲,葛耀中、賀家李等,行波的小波表示,清華大學學報(自然科學版)2001年第41卷09期,pp.13-17
[5] 董新洲,葛耀中,利用GPS的行波故障測距研究,1995年8期,電力係統自動化
[6] 董新洲, 葛耀中, 徐丙垠, 陳平, 李京. 新型輸電線路故障測距裝置的研製. 電網技術. 1998(01), pp.17-21
[7] 董新洲等,利用暫態電流行波的輸電線路故障測距研究,中國電機工程學報,第19卷,第4期,1999年4月,pp.76-80
[8] 董新洲,高精度故障錄波器及輸電線路組合故障測距方法,國家發明專利:
ZL 01143448.1, 2004.3
[9] X.Z.Dong, Z.Chen, X.Z.He, K.H.Wang, C.M.Luo,Optimizing solution of fault location,Proceedings of the IEEE Power Engineering Society Transmission and Distribution Conference
SUMMER, 2002, V.3 pp.1113-1117
[10] X.Z.Dong, S.X.Shi, T.Cui, Q.Lu ,Optimizing Solution of Fault Location Using Single Terminal Quantities,Science in China Series E: Technological Sciences, May, 2008, Vo51, No5, pp.1-12
[11] 董新洲 畢見廣 ,配電線路暫態行波的分析和接地選線研究,中國電機工程學報2005年04期 pp.1-6
[12] X.Z.Dong, S.X.Shi,Identifying Single-phase-to- ground Fault Feeder in Neutral Non-effectively Grounded Distribution System Using Wavelet Transform,IEEE Transaction on Power Delivery, 2008(4),Oct 2008
[13] X.Z.Dong, Y.Z.Ge, J.L.He,Surge impedance relay,IEEE Transaction on Power Delivery 2005 vol.20 n.2 pp.1247-1256
作者簡介
董新洲,教授、博導,主要從事電力係統故障分析和繼電保護研究,CSEE高級會員,IEEE高級會員,IET學生會員導師,國家發明獎獲得者。




